रेलवे ने चलाईं 196 जोड़ी विशेष ट्रेनें, लाखों यात्रियों को होगा फायदा, यहां देखें लिस्ट

रेलवे ने लाखों यात्रियों के लिए विशेष ट्रेनें चलाई हैं। रेलवे मंत्रालय ने 196 जोड़ी फेस्टिवल स्पेशल ट्रेनों के संचालन के लिए जोनल रेलवे के प्रस्ताव को मंजूरी दे दी है। इससे पहले रेलवे 39 जोड़ी एसी विशेष ट्रेनों की सेवाएं फिर से शुरू करने की घोषणा कर चुका है।
इन स्पेशल ट्रेनों के संचालन के बाद लोग अपने घरों में जाकर परिवार के बीच दीपावली और छठ का त्योहार मना सकेंगे। लोग पिछले कुछ दिनों से सोशल मीडिया के जरिए ट्रेन चलाने की मांग कर रहे थे।
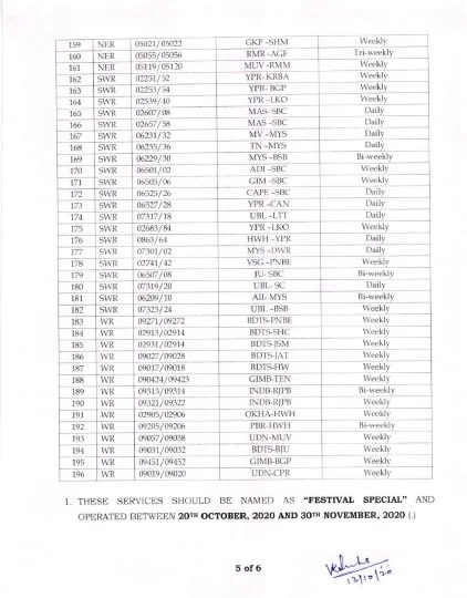
यहां देखें स्पेशल ट्रेनों के नाम-
लोकमान्य तिलक टर्मिनल से हरिद्वार एसी एक्सप्रेस- सप्ताह में दो बार
लोकमान्य तिलक टर्मिनल से लखनऊ एसी एक्सप्रेस – साप्ताहिक
अजनी से पुणे एसी एक्सप्रेस – साप्ताहिक
नागपुर से अमृतसर – साप्ताहिक
कामाख्या से लोकमान्य तिलक टर्मिनल एससी एक्सप्रेस- साप्ताहिक
कामाख्या से यशवंतपुर एसी एक्सप्रेस – साप्ताहिक
निजामुद्दीन से पुणे एसी एक्सप्रेस – साप्ताहिक
आनंद विहार से नाहरलागुन एसी एक्सप्रेस- साप्ताहिक
नई दिल्ली से कटरा एसी एक्सप्रेस – दैनिक
बाड़मेर से यशवंतपुर एसी एक्सप्रेस- साप्ताहिक
सिकंदराबाद से शालीमार एससी एक्सप्रेस- साप्ताहिक
लिंगमपल्ली से काकीनाडा टाउन एसी एक्सप्रेस- सप्ताह में तीन दिन
सिकंदराबाद से विशाखापत्तनम एसी एक्सप्रेस- साप्ताहिक
सांतरागाछी से चेन्नई एसी एक्सप्रेस- सप्ताह में दो बार
हावड़ा से यशवंतपुर एसी एक्सप्रेस – साप्ताहिक
चेन्नई से मदुरै एसी एक्सप्रेस – सप्ताह में तीन बार
बांद्रा से भुज एसी एक्सप्रेस सप्ताह में तीन बार
भुवनेश्वर से आनंद विहार एसी दुरंतो – सप्ताह में एक बार
भुवनेश्वर से नई दिल्ली एसी दुरंतो – साप्ताहिक
निजामुद्दीन से पुणे – एसी दुरंतो – सप्ताह में दो बार
हावड़ा से पुणे – एसी दुरंतो – सप्ताह में दो बार
चेन्नई से निजामुद्दीन एसी दुरंतो – सप्ताह में दो बार
डिब्रूगढ़ से नई दिल्ली राजधानी – साप्ताहिक
डिब्रूगढ़ से नई दिल्ली राजधानी – सप्ताह में दो बार
मुंबई सेंट्रल से निजामुद्दीन राजधानी – दैनिक
बांद्रा से निजामुद्दीन युवा एक्सप्रेस- साप्ताहिक
एसी कार केवल कुर्सी-कार के साथ-
बंगलूरू से चेन्नई शताब्दी तक – दैनिक मंगलवार को छोड़कर
मुंबई सेंट्रल से अहमदाबाद शताब्दी – दैनिक रविवार को छोड़कर
चेन्नई से कोयंबटूर शताब्दी – दैनिक मंगलवार को छोड़कर
नई दिल्ली से हबीबगंज शताब्दी – दैनिक
नई दिल्ली से अमृतसर शताब्दी – दैनिक
नई दिल्ली से देहरादून शताब्दी – दैनिक
नई दिल्ली से अमृतसर शताब्दी – दैनिक गुरुवार को छोड़कर
हावड़ा से रांची शताब्दी – रविवार को छोड़कर दैनिक
नई दिल्ली से वैष्णो देवी कटरा वंदे भारत – दैनिक मंगलवार को छोड़कर
जयपुर से दिल्ली सराय रोहिल्ला डबल डेकर – दैनिक
अहमदाबाद से मुंबई सेंट्रल डबल डेकर – दैनिक रविवार को छोड़कर
चेन्नई से बंगलूरू डबल डेकर – दैनिक
विशाखापत्तनम से तिरुपति डबल-डेकर – सप्ताह में तीन बार









